Skip to main content

Quick Connect

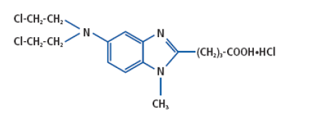
Bendamustine Hydrochloride

Bendamustine Hydrochloride-API

Bendamustine Hydrochloride API

CAS Number: 3543-75-7

Bendamustine Hydrochloride API

Therapeutic Category
Anti-Cancer/ Oncology

API Technology
Synthetic

Dose Form
Injectable

Dr Reddy's Development Status
Available

Available Regulatory Filing
USA, Europe

Mechanism of Action

Bendamustine is a bifunctional mechlorethamine derivative containing a purine-like benzimidazole ring. Mechlorethamine and its derivatives form electrophilic alkyl groups. These groups form covalent bonds with electron-rich nucleophilic moieties, resulting in interstrand DNA crosslinks. The bifunctional covalent linkage can lead to cell death via several pathways. Bendamustine is active against both quiescent and dividing cells. The exact mechanism of action of bendamustine remains unknown.

Indication

TREANDA for Injection is an alkylating drug indicated for treatment of patients with:

  • Chronic lymphocytic leukemia (CLL). Efficacy relative to first line therapies other than chlorambucil has not been established.
  • Indolent B-cell non-Hodgkin’s lymphoma (NHL) that has progressed during or within six months of treatment with rituximab or a rituximabcontaining regimen.

Dr. Reddy's Expertise

Headquartered in Hyderabad, India, Dr. Reddy's Laboratories is one of the leading Active Pharmaceutical Ingredients (API) manufacturers and suppliers globally for Bendamustine Hydrochloride API. Dr. Reddy's API business is a preferred partner to pharma companies across the US, Europe, Brazil, Latin America, Japan, China, Korea, Middle East and other emerging markets.

Dr. Reddy's API business thrives on the deep technical strengths established over the last 30+ years in the development and manufacture of complex APIs such as steroids, peptides, complex long chain molecules and highly potent APIs (HPAPIs / oncology drugs). This expertise is complemented by our prowess in intellectual property and regulatory affairs which helps us consistently meet and exceed regulatory standards. Dr. Reddy's Bendamustine Hydrochloride API is the outcome of the extensive expertise in R&D, IP, and Regulatory.

A key component in helping our customers be first to market is a responsive supply chain. We achieve this by making sure that all our facilities are operating efficiently and to the latest standards of quality, safety, and productivity. A strong interconnect between business and factories allows for a quick reaction to dynamic market changes, so that we can avert shortages and meet sudden surges in demand.

Contact Us

OR
We are here to help, if you have any country specific requirements.

Related APIs

Disclaimer

No information in this catalog - including any reference to any product or service - constitutes an offer for sale, or be construed as representing an offer for sale. Products protected under valid patents are not offered or supplied for commercial use. However, the research quantities of such products may be offered for the purpose of regulatory submissions, wherever such regulatory exemptions exist. The buyers should make their independent evaluation of the patent scenario for their respective markets and will be responsible for all patent related liabilities. Products protected under valid patents in India are not available for commercial use but would be available for Section 107A purposes.

Insights Delivered

Sign-up for our email service to get Market and Product insights and updates right to your digital doorstep

The categories of personal information collected in this form include name, company, and contact information etc. The personal information collected will be used for exploratory discussions on contract manufacturing, marketing and to perform research and analytics and others. For more information about the categories of personal information collected by Dr.Reddy's and the purposes for which Dr.Reddy's uses personal information, visit https://api.drreddys.com/privacy-policy.