Skip to main content

Quick Connect

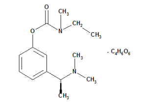
Rivastigmine Hydrogen Tartrate

Rivastigmine Hydrogen Tartrate-API

Rivastigmine Hydrogen Tartrate API

CAS Number: 129101-54-8

Rivastigmine Hydrogen Tartrate API

Therapeutic Category
Anti-Alzheimers
Anti-Parkinson's
Central Nervous System (CNS)

API Technology
Synthetic

Dose Form
Oral Solids, Liquid

Dr Reddy's Development Status
Available

Available Regulatory Filing
USA, Canada, CEP, Europe, Australia, New Zealand, Brazil

Mechanism of Action

Rivastigmine is a type of medicine called an acetylcholinesterase inhibitor. It works by slowing the breakdown of a neurotransmitter in the brain called acetylcholine.

Indication

EXELON is an acetylcholinesterase inhibitor indicated for treatment of:

  • Mild to moderate dementia of the Alzheimer’s type
  • Mild to moderate dementia associated with Parkinson’s disease

Dr. Reddy's Expertise

Headquartered in Hyderabad, India, Dr. Reddy's Laboratories is one of the leading Active Pharmaceutical Ingredients (API) manufacturers and suppliers globally for Rivastigmine Hydrogen Tartrate API. Dr. Reddy's API business is a preferred partner to pharma companies across the US, Europe, Brazil, Latin America, Japan, China, Korea, Middle East and other emerging markets.

Dr. Reddy's API business thrives on the deep technical strengths established over the last 30+ years in the development and manufacture of complex APIs such as steroids, peptides, complex long chain molecules and highly potent APIs (HPAPIs / oncology drugs). This expertise is complemented by our prowess in intellectual property and regulatory affairs which helps us consistently meet and exceed regulatory standards. Dr. Reddy's Rivastigmine Hydrogen Tartrate API is the outcome of the extensive expertise in R&D, IP, and Regulatory.

A key component in helping our customers be first to market is a responsive supply chain. We achieve this by making sure that all our facilities are operating efficiently and to the latest standards of quality, safety, and productivity. A strong interconnect between business and factories allows for a quick reaction to dynamic market changes, so that we can avert shortages and meet sudden surges in demand.

Contact Us

OR
We are here to help, if you have any country specific requirements.

Related APIs

Don't see your product here? Contact Us to explore product development opportunities


No Product found. Please refine your search.

Disclaimer

No information in this catalog - including any reference to any product or service - constitutes an offer for sale, or be construed as representing an offer for sale. Products protected under valid patents are not offered or supplied for commercial use. However, the research quantities of such products may be offered for the purpose of regulatory submissions, wherever such regulatory exemptions exist. The buyers should make their independent evaluation of the patent scenario for their respective markets and will be responsible for all patent related liabilities. Products protected under valid patents in India are not available for commercial use but would be available for Section 107A purposes.

Insights Delivered

Sign-up for our email service to get Market and Product insights and updates right to your digital doorstep

The categories of personal information collected in this form include name, company, and contact information etc. The personal information collected will be used for exploratory discussions on contract manufacturing, marketing and to perform research and analytics and others. For more information about the categories of personal information collected by Dr.Reddy's and the purposes for which Dr.Reddy's uses personal information, visit https://api.drreddys.com/privacy-policy.